Strong interplay between superluminosity and radiation friction during direct laser acceleration

Publication type
Citation

I-L. Yeh, K. Tangtartharakul, H. Rinderknecht, L. Willingale, and A. Arefiev, "Strong interplay between superluminosity and radiation friction during direct laser acceleration", New J. Phys. 23, 095010 (2021).

Abstract

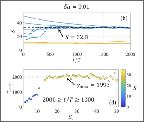
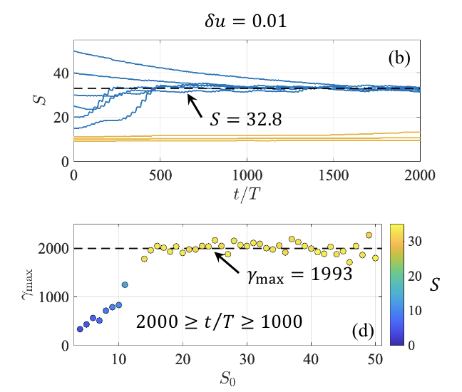
We examine direct laser acceleration of electrons within a magnetic filament that has been shown to form inside a laser-irradiated plasma. We focus on ultra-high intensity interactions where the force of radiation friction caused by electron emission of electromagnetic radiation must be taken into account. It is shown that even relatively weak superluminosity of laser wave fronts - the feature that has been previously neglected - qualitatively changes the electron dynamics, leading to a so-called attractor effect. As a result of this effect, electrons with various initial energies reach roughly the same maximum energy and emit roughly the same power in the form of x-rays and gamma-rays. Our analysis is performed using a test-particle model. The discovered strong interplay between superluminosity and radiation friction is of direct relevance to laser-plasma interactions at high-intensity multi-PW laser facilities.