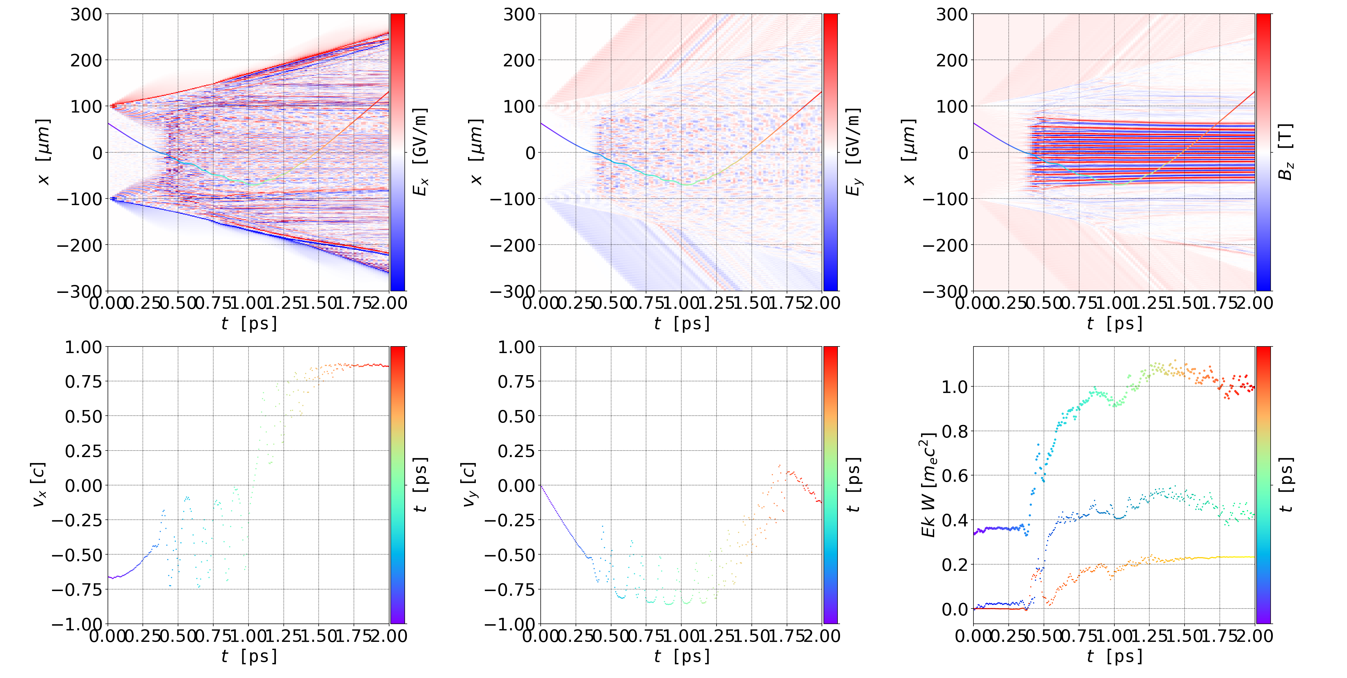
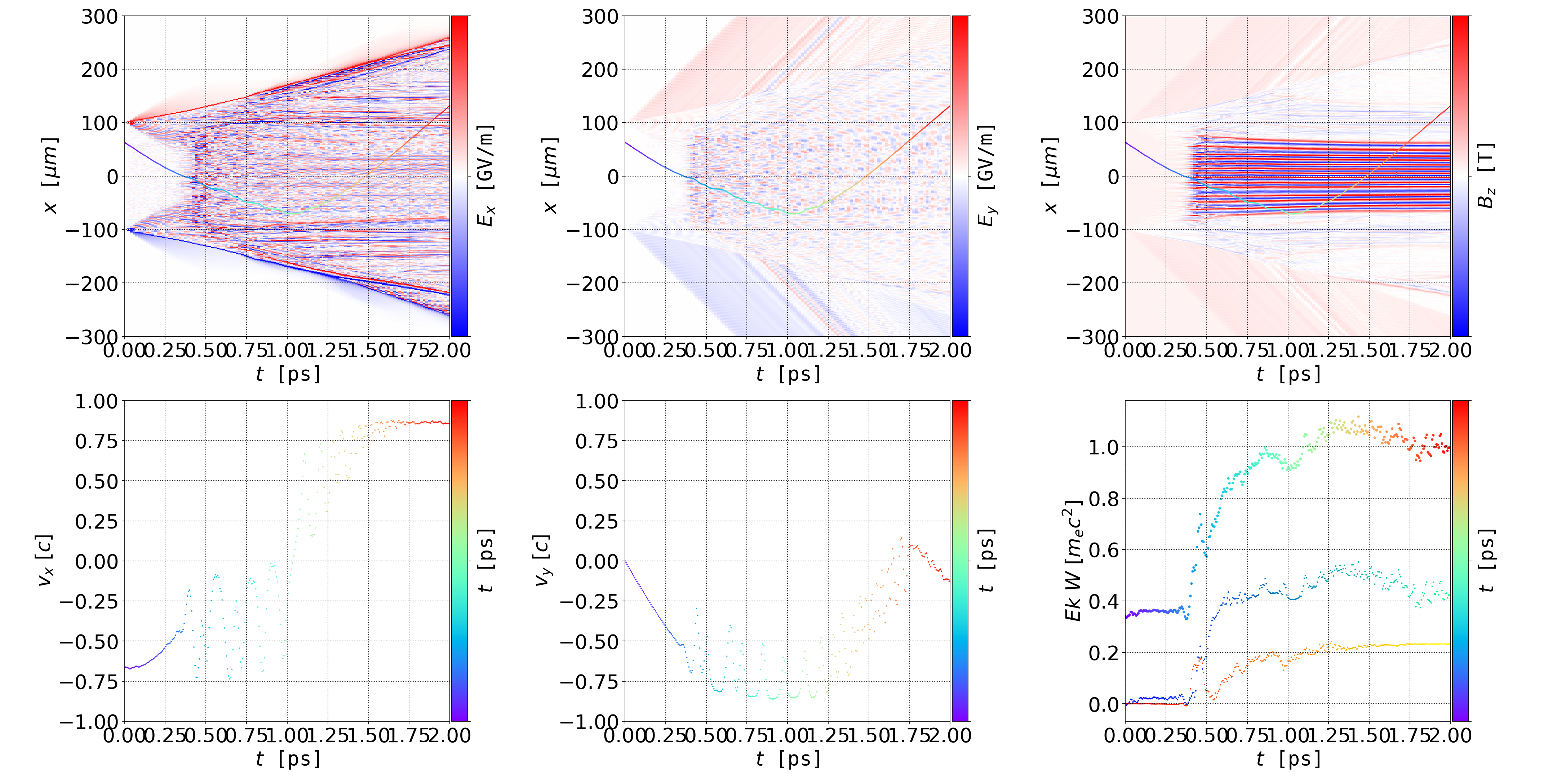
Public content shared with everyone by Zheng Gong Alert: Your browser does not have Javascript enabled. The folder browser user interface will not work properly without it. overlap_hot_300_electron10039_.pngB_0020TParticle_tracking_overlapUT_ionized_wave_expansionPublic