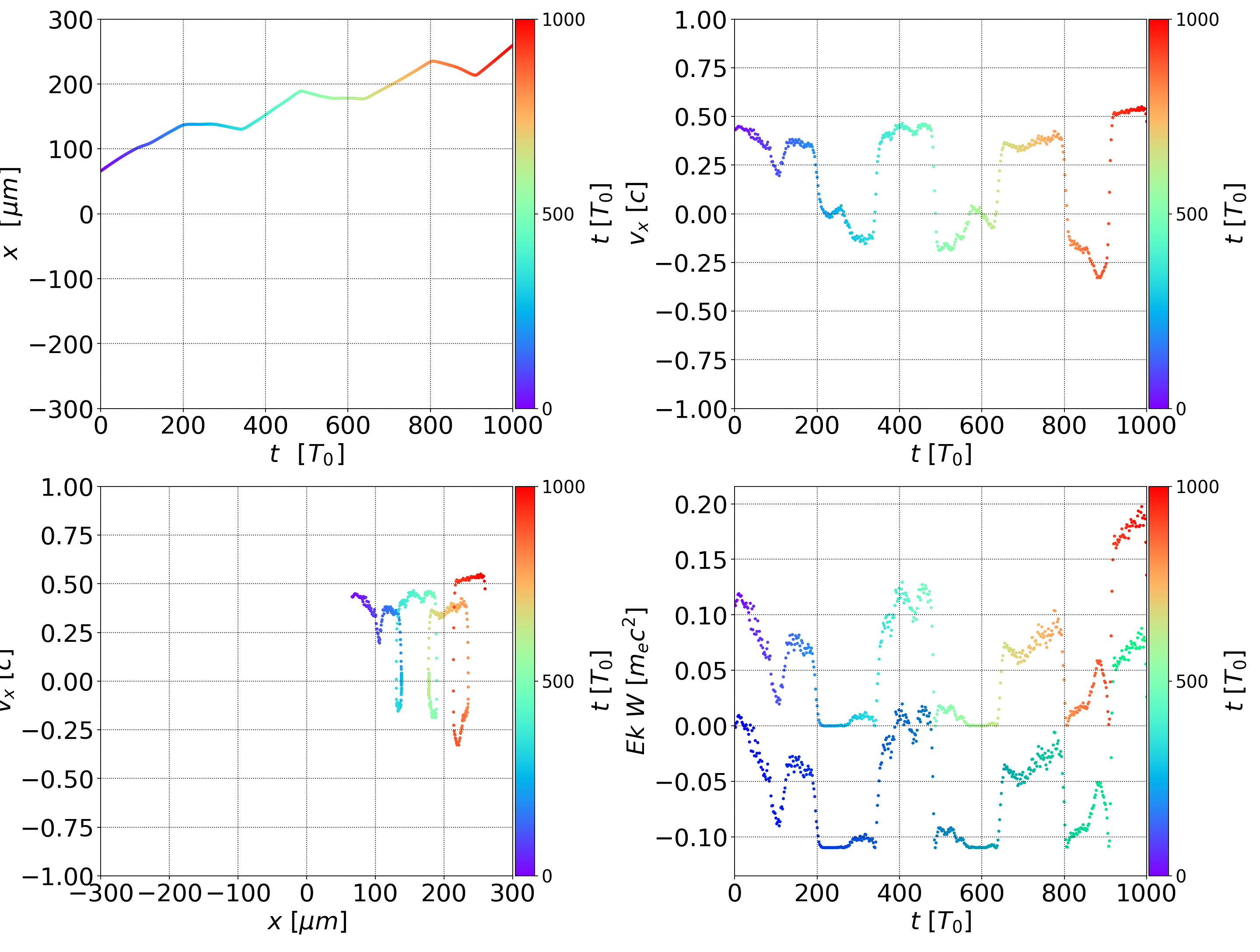
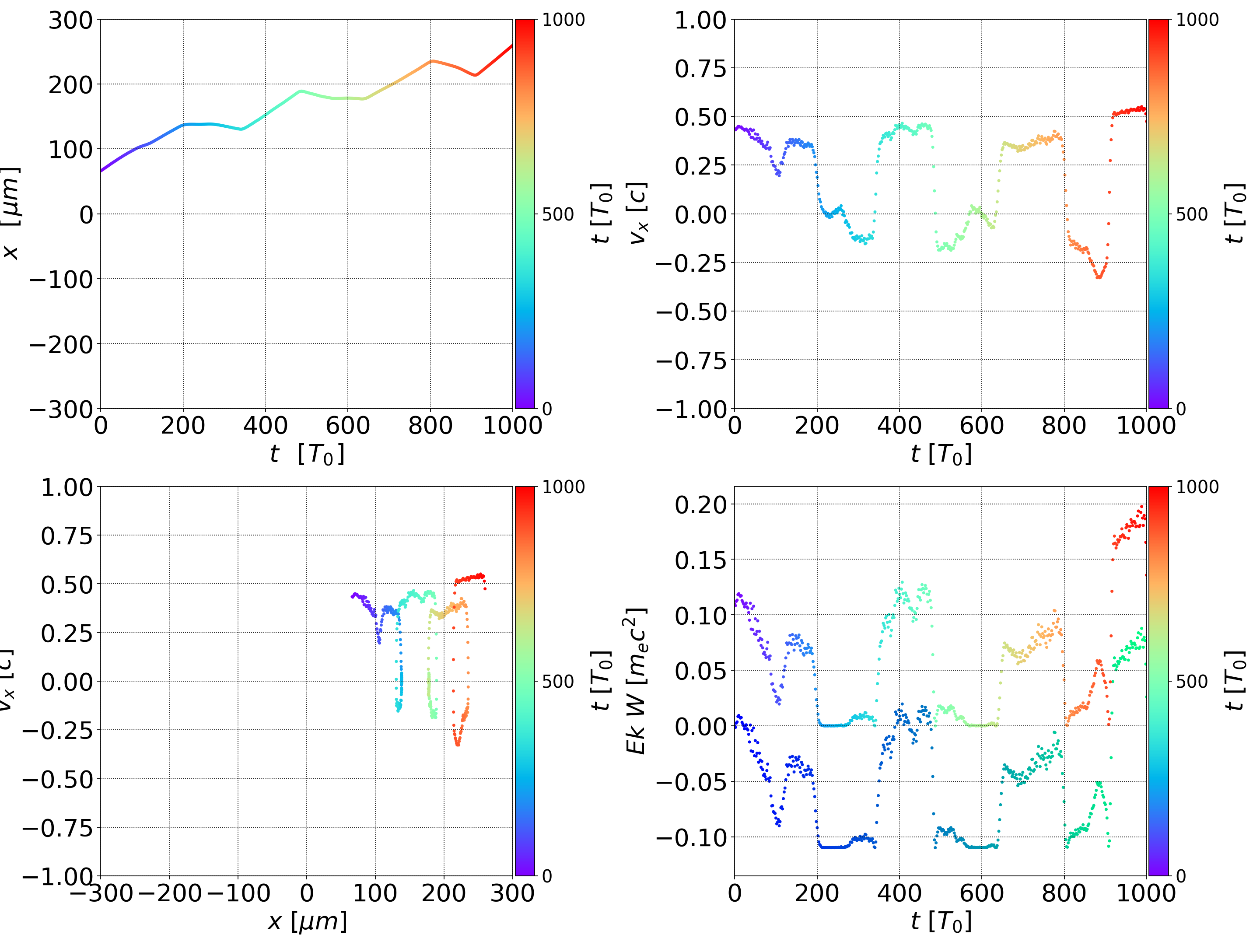
Public content shared with everyone by Zheng Gong Alert: Your browser does not have Javascript enabled. The folder browser user interface will not work properly without it. trajectory_electron10060_.pngelectron_in_bucket_originalparticle_tracking_B00001d_ionization_waveUT_ionized_wave_expansionPublic