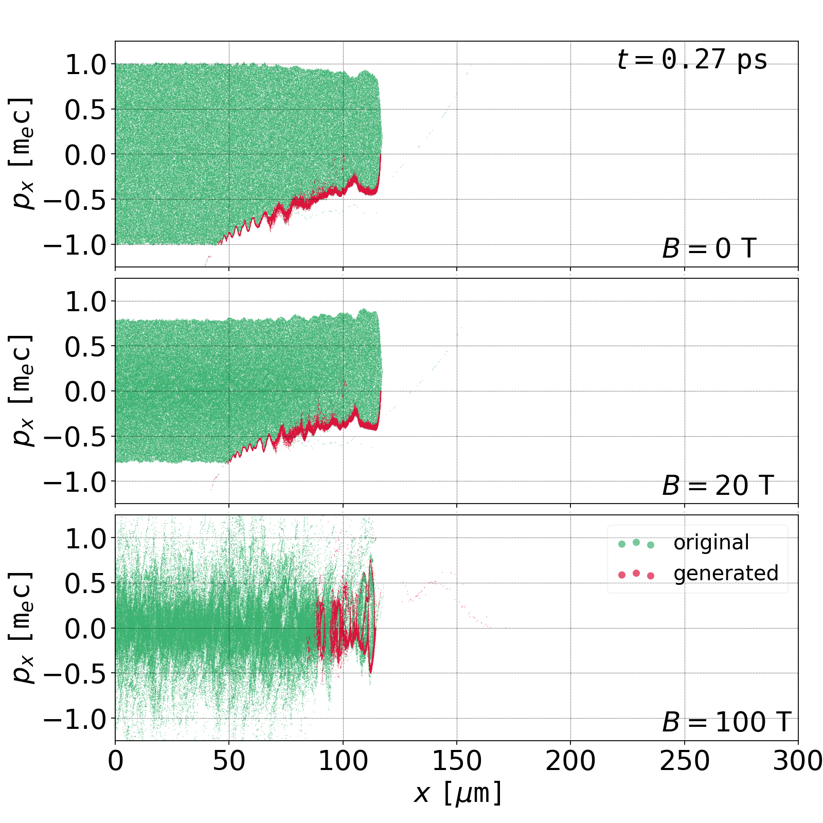
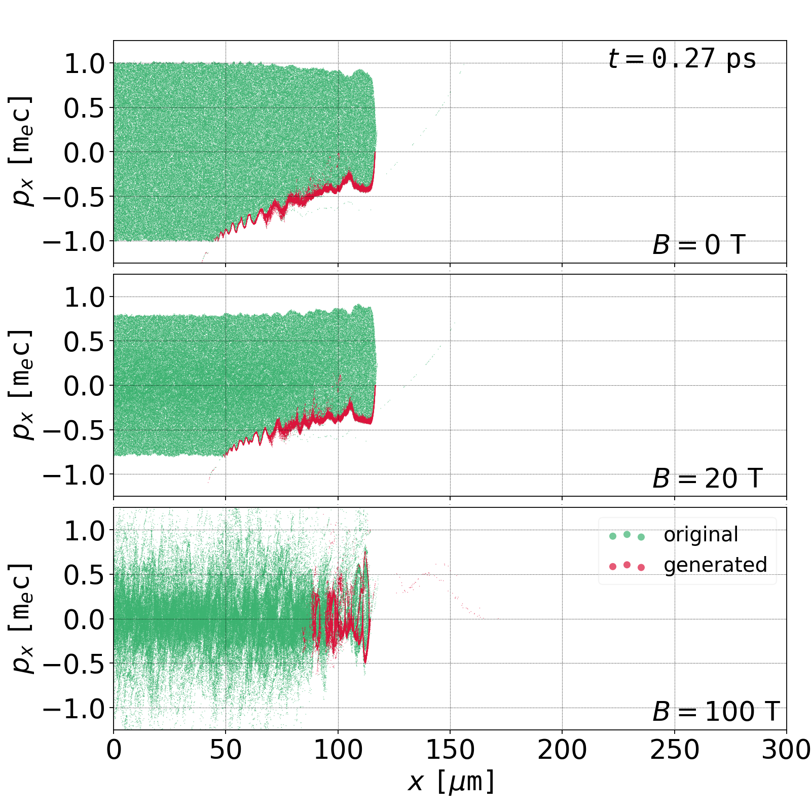
Public content shared with everyone by Zheng Gong Alert: Your browser does not have Javascript enabled. The folder browser user interface will not work properly without it. wrap_px_x0004.pngthree_px_x1d_ionization_waveUT_ionized_wave_expansionPublic