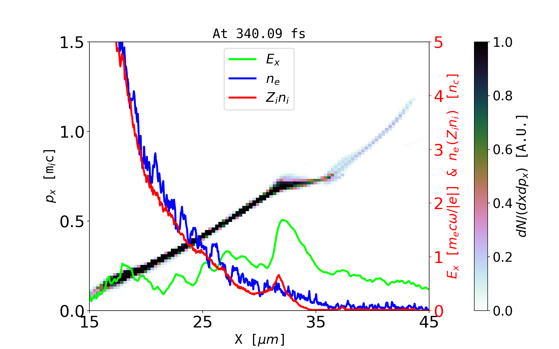
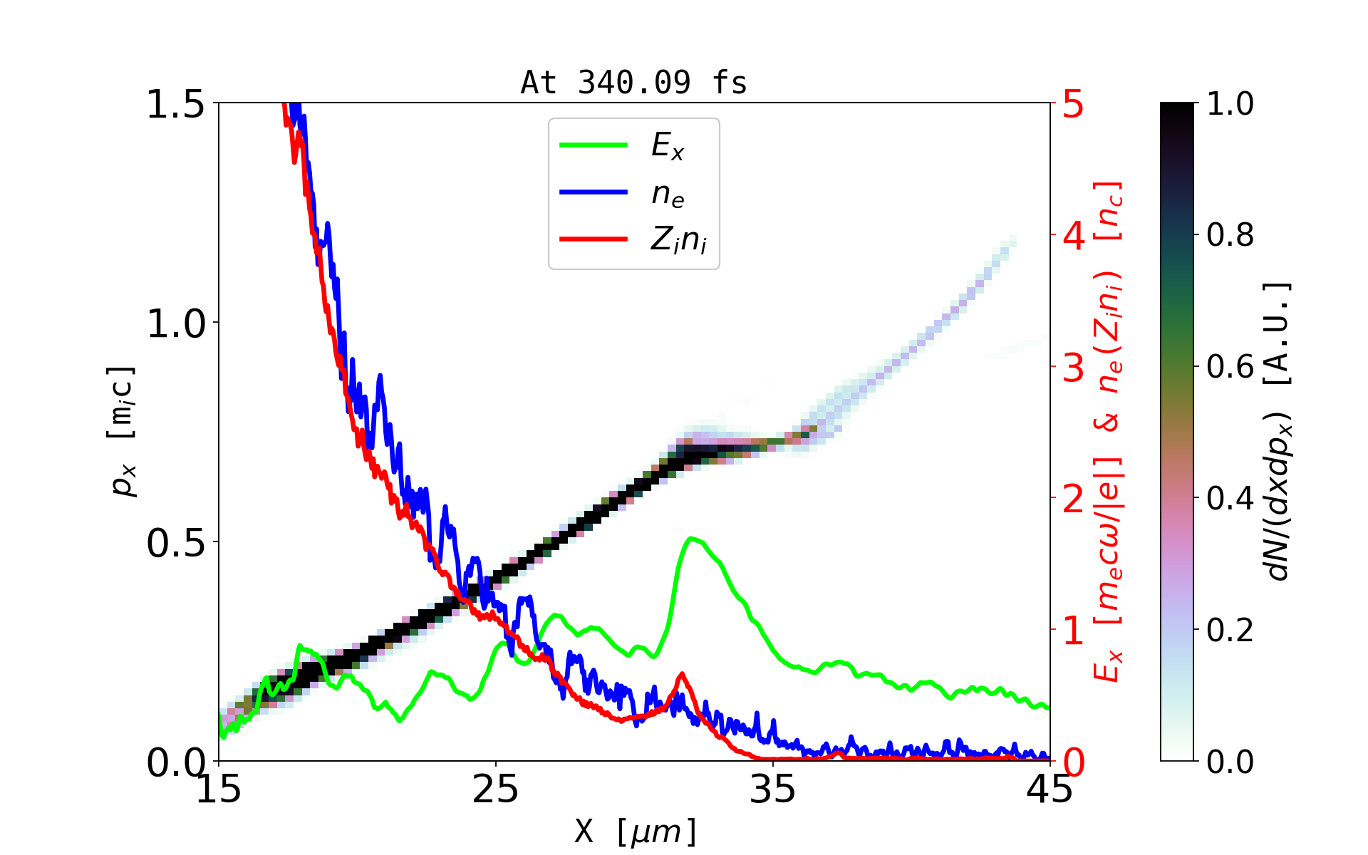
Public content shared with everyone by Zheng Gong Alert: Your browser does not have Javascript enabled. The folder browser user interface will not work properly without it. cut_px_x_phase_0025_r10.pngPx_x_phase_lineoutstructured_bulk_75n_cIon-acceleration-MVAPublic