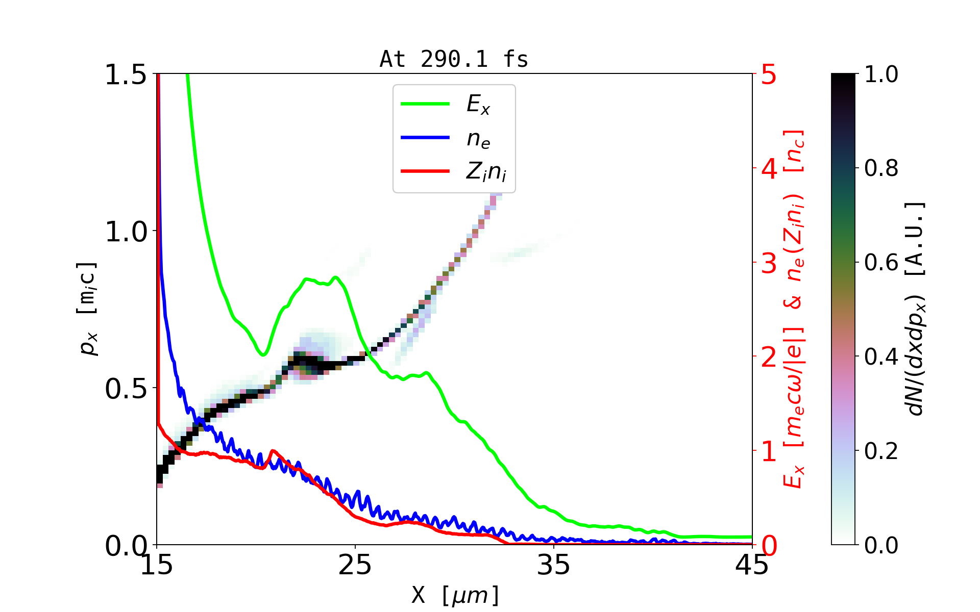
cut_px_x_phase_0020_r40.png

Public content shared with everyone by Zheng Gong