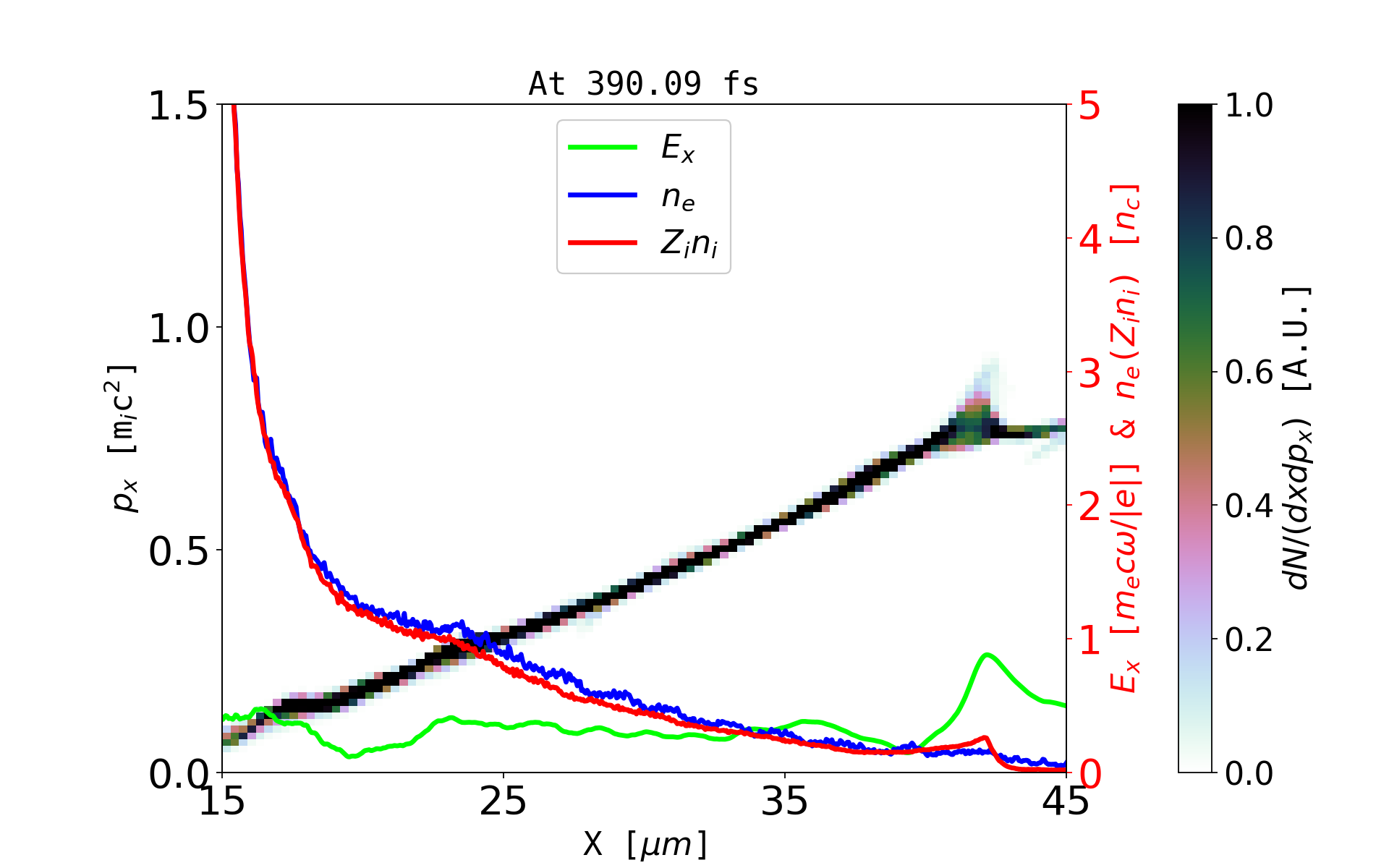
cut_px_x_phase_0030_r35.png

Public content shared with everyone by Zheng Gong