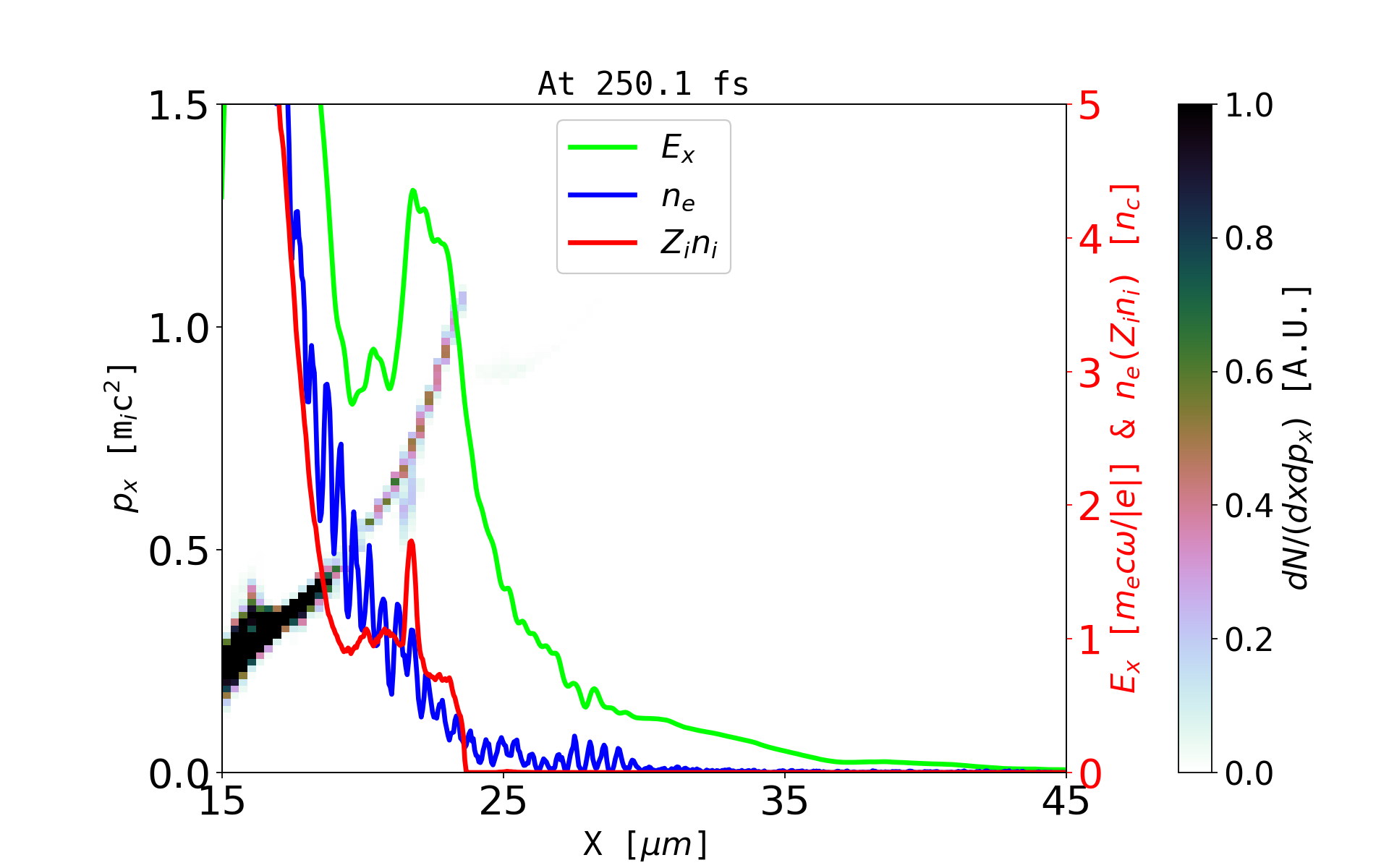
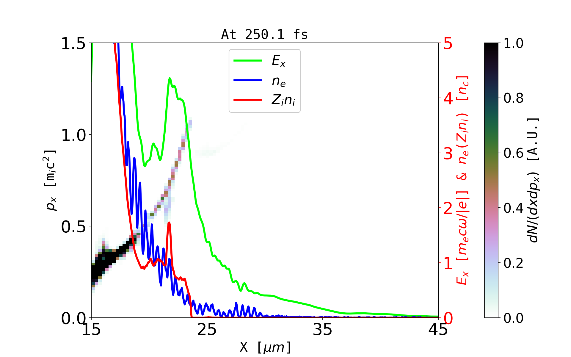
Public content shared with everyone by Zheng Gong Alert: Your browser does not have Javascript enabled. The folder browser user interface will not work properly without it. cut_px_x_phase_0016_r15.pngproton_px_x_cut_structuredIon-acceleration-MVAPublic