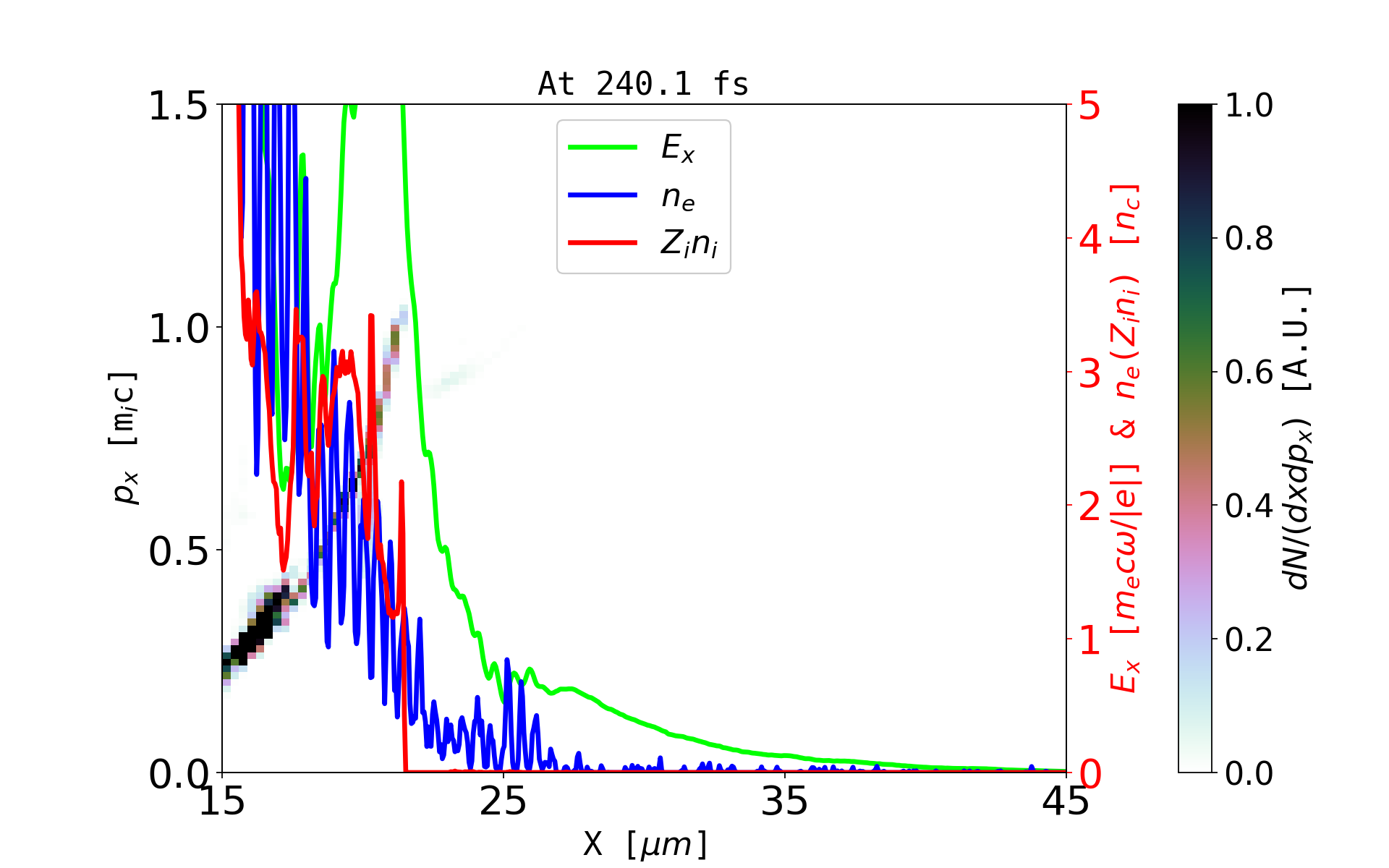
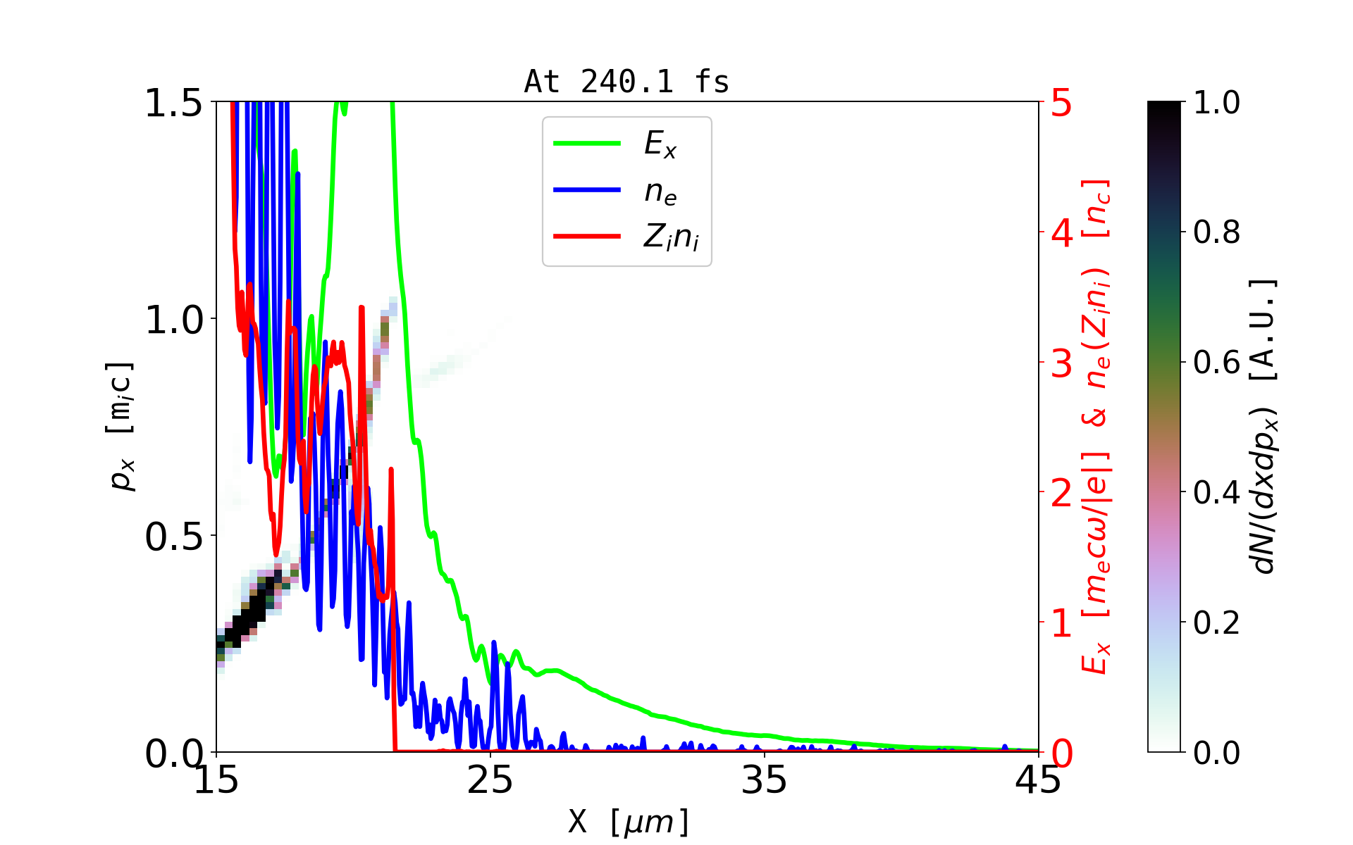
cut_px_x_phase_0015_r05.png

Public content shared with everyone by Zheng Gong